鬓发染霜的宁 4月27日消息,云内动力开盘报价2.36元,收盘于2.45元,涨1.66%。今年来涨幅下跌-52.65%,市盈率66.22。

从盘面上看,所属的汽车电子概念股中,涨跌幅最高的是永贵电器,开盘报7.77元,最新报价8.92元,上涨13.78%。
4月27日消息,云内动力主力净流入50.89万元,超大单净流入102.9万元,散户净流入62.57万元。
从资金流向方面来看,所属的汽车电子概念,歌尔股份获主力资金净流入5.02亿元居首。
从营收入来看:2021年第四季度季报显示,云内动力公司实现营收约17亿元,同比增长-43.82%; 净利润约-6924.51万元,同比增长-255.31%;基本每股收益-0.05元。
数据由提供,仅供参考,不构成投资建议,股市有风险,投资需谨慎,据此操作,风险自担。
鬓发染霜的宁 2022年4月27日年富国精诚回报12个月持有期混合A基金持股人结构一览,2020年基金所属公司管理规模有哪些?
基金持股人结构一览
截至2021年第二季度,富国精诚回报12个月持有期混合A持有详情,机构投资者持有占3.48%,个人投资者持有占96.52%,机构投资者持有1900万份额,个人投资者持有5.28亿份额,总份额5.47亿份。
基金市场表现方面
截至4月26日,富国精诚回报12个月持有期混合A(011769)最新单位净值0.9741,累计净值0.9741,最新估值0.9763,净值增长率跌0.23%。
2020年基金所属公司管理规模
截至2020年,富国基金管理有限公司所有基金总规模5676.8亿元,混合型基金规模2000.46亿元,债券型基金规模964.52亿元,指数型基金规模697.18亿元,QDII基金规模59.38亿元,货币型基金规模1766.36亿元,股票型基金规模886.07亿元。
数据由提供,仅供参考,不构成投资建议,基金有风险,投资需谨慎,据此操作,风险自担。
鬓发染霜的宁 财通价值动量混合买的人多吗?该基金现任经理是谁?以下是为您整理的4月26日财通价值动量混合基金持有人结构详情,供大家参考。
基金市场表现方面
截至4月26日,财通价值动量混合(720001)最新单位净值4.3660,累计净值4.8370,净值增长率跌3.34%,最新估值4.517。
基金持有人结构方面
截至2021年第二季度,财通价值动量混合持有详情,机构投资者持有占46.64%,个人投资者持有占53.36%,机构投资者持有2260万份额,个人投资者持有2590万份额,总份额4850万份。
基金现任经理
财通价值动量混合的现任基金经理是金梓才,任职时间为2014-11-19~至今,任职期间回报379.79%。
数据由提供,仅供参考,不构成投资建议,基金有风险,投资需谨慎,据此操作,风险自担。
鬓发染霜的宁 工银景气优选混合C基金怎么样?同公司基金表现如何?为您整理的4月26日工银景气优选混合C基金市场表现及同公司基金市场表现详情,供大家参考。
基金介绍
基金全名是工银瑞信景气优选混合型证券投资基金,以下简称工银景气优选混合C,该基金成立于2021年7月23日,基金规模为2240万元,基金份额日期2021年7月23日,基金总份额达2515万份,基金类型属于混合型,运作方式为开放式,判断为稳健混合型,基金由中国农业银行股份有限公司托管,交由工银瑞信基金管理有限公司管理,基金经理是黄安乐。
基金市场表现方面
截至4月26日,该基金累计净值0.5372,最新单位净值0.5372,净值增长率跌2.51%,最新估值0.551。
工银景气优选混合C成立以来下降44.9%,近一月下降21.44%。
同公司基金
截至2022年12月9日,基金同公司按单位净值排名前五有:工银战略转型股票A基金,股票型,最新单位净值为3.7160,累计净值3.7160,日增长率-3.53%;工银战略转型股票C基金,股票型,最新单位净值为3.6950,累计净值3.6950,日增长率-3.52%;工银信息产业混合A基金,最新单位净值为3.2690,累计净值3.5460,日增长率-4.42%等。
本文相关数据仅供参考, 不对您构成任何投资建议。用户应基于自己的独立判断,并承担相应风险。基金有风险,投资需谨慎。
鬓发染霜的宁 4月26日中金金泽混合C基金赚钱吗?该基金分红负债是什么情况?以下是为您整理的截至4月26日中金金泽混合C一年来涨跌详情,供大家参考。
基金市场表现方面
基金截至4月26日,最新市场表现:单位净值1.3933,累计净值1.3933,最新估值1.4152,净值增长率跌1.55%。
基金季度利润方面
截至2021年第二季度,该基金本期净收益盈利13.69万元。
基金分红负债
截至2021年第二季度,该基金负债合计11.13万,所有者权益合计2226.87万,负债和所有者权益总计2238万。
数据仅供参考,不构成投资建议,据此操作,风险自担,基金有风险,投资需谨慎。
鬓发染霜的宁 4月26日永赢荣益债券A一个月来收益0.76%,该基金分红负债是什么情况?以下是为您整理的4月26日永赢荣益债券A基金市场表现详情,供大家参考。
基金市场表现方面
截至4月26日,永赢荣益债券A(006092)最新市场表现:单位净值1.0630,累计净值1.2007,最新估值1.0627,净值增长率涨0.03%。
基金阶段涨跌幅
永赢荣益债券A(006092)近一周收益0.13%,近一月收益0.76%,近三月收益0.67%,近一年收益5.11%。
基金分红负债
截至2021年第二季度,该基金所有者权益方面:实收基金9.99亿,未分配利润7044.88万,所有者权益合计10.69亿。
本文相关数据仅供参考,力求但不保证数据的完全准确,净值估算数据按照基金历史披露持仓和指数走势估算,不构成投资建议,仅供参考,实际以基金公司披露净值为准。
鬓发染霜的宁 午间收盘简讯,4月27日钻石概念报跌,爱迪尔(3.39,-0.31,-8.38%)领跌,莱绅通灵(5.97,-0.28,-4.48%)、ST金洲(1.11,-0.04,-3.48%)、周大生(11.51,-0.28,-2.37%)、萃华珠宝(11.57,-0.2,-1.7%)等跟跌。
相关钻石概念股分析:
爱迪尔:
近5个交易日,爱迪尔期间整体下跌21.35%,最高价为4.87元,最低价为4.3元,总市值下跌了3.59亿。
公司主营业务为钻石镶嵌饰品,由于钻石采购价格由净度、大小、切工、色度等因素共同决定,因此对于采购人员的专业水平要求更高。
莱绅通灵:
近5日股价下跌21.12%,2022年股价下跌-27.2%。
公司主营产品属于该行业细分的钻石镶嵌类产品。
*ST金洲:
在近5个交易日中,ST金洲有4天下跌,期间整体下跌10.43%。和5个交易日前相比,ST金洲的市值下跌了2.55亿元,下跌了10.43%。
周大生:
近5个交易日股价下跌12.38%,最高价为13.42元,总市值下跌了16亿。
全国中高端主流市场钻石珠宝领先品牌。公司在全国共有 2975 家门店,位于全国第一。周大生电商平台已经拓展至苏宁易购、亚马逊、聚美优品以及各大银行等多个线上销售渠道。
萃华珠宝:
近5个交易日,萃华珠宝期间整体下跌21.75%,最高价为14.96元,最低价为14.12元,总市值下跌了6.56亿。
拟收购钻明钻石51%股权明起停牌。
本文相关数据仅供参考,不构成投资建议,据此操作,风险自担。股市有风险,投资需谨慎。
鬓发染霜的宁 2020年景顺长城优信增利债券A基金所属公司管理规模有哪些?它的基金公司怎么样?以下是为您整理的景顺长城优信增利债券A基本费率详情,供大家参考。
2020年基金所属公司管理规模
截至2020年,景顺长城基金管理有限公司所有基金总规模3688.12亿元,股票型基金规模293.04亿元,混合型基金规模1518.72亿元,债券型基金规模436.73亿元,指数型基金规模141.3亿元,QDII基金规模5.69亿元,货币型基金规模1433.95亿元。
基金公司情况该基金属于景顺长城基金管理有限公司,公司成立于2003年6月12日,公司拥有基金206只,由33名基金经理管理,所有基金管理规模共5216.07亿元。
截至2020年,景顺长城基金管理有限公司所有基金总规模3688.12亿元,股票型基金规模293.04亿元,混合型基金规模1518.72亿元,债券型基金规模436.73亿元,指数型基金规模141.3亿元,QDII基金规模5.69亿元,货币型基金规模1433.95亿元。
发布此信息的目的在于传播更多信息,与本站立场无关。不保证该信息(包括但不限于文字、视频、音频、数据及图表)全部或者部分内容的准确性、真实性、完整性、有效性、及时性、原创性等。相关信息并未经过本网站证实,不对您构成任何投资建议,据此操作,风险自担。
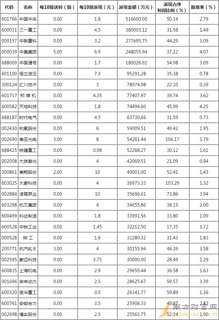
鬓发染霜的宁 机械设备行业股票资金流向?2021年度机械设备行业分红排名(附名单)下面同微聊君来看看。
今日主力净流入:1.9739亿主力净比:8.47%
今日超大单净流入:1.1606亿超大单净比:4.98%
今日大单净流入:8133.0256万大单净比:3.49%
今日中单净流入:-5354.8288万中单净比:-2.30%
今日小单净流入:-1.4385亿小单净比:-6.17%

鬓发染霜的宁 袁大头银元新价格表 2022年4月27日民国十年袁大头银元价格是多少?2022民国十年袁大头银元价格 路路为您提供最新袁大头银元价格相关资讯。
(袁大头是民国时期主要流通货币之一,“袁大头”是对袁世凯像系列硬币的口语俗称,严谨点说叫“袁世凯像背嘉禾银币”。“以库平纯银六钱四分八厘为价格之单位,定名为圆”,“一圆银币,总重七钱二分,银八九,铜一一”,“一圆银币用数无限制”,即以一圆银币为无限法偿的本位贷币。
于1914年12月及1915年2月, 先后由造币总厂及江南造币厂开铸一圆银币,币面镌刻袁世凯头像,俗称“袁头币”或“袁大头”。
铸造跨度从1914年至1929年,总发行量超过7.5 亿枚。该系列币分别重26.6克、13.3克、5.3克和2.6克;成色分别为89.1%、84.5%、80.4%和82.5%;该币的外环主要是直齿边,另外,还铸有少量工字边和花齿边。)
注:价格仅供参考,具体价格以市价为准

鬓发染霜的宁 4月27日消息,凤凰传媒3日内股价下跌7.66%,最新报6.56元,跌1.5%,成交额860.95万元。

开盘讯息,电子出版概念报跌,凤凰传媒(6.550,-1.652)领跌,凤凰传媒、惠程科技、中原传媒、中文传媒等跟跌。
凤凰传媒公司2021年第四季度营业总收入36.81亿元,净利润6788.56万元,每股收益0.27元,市盈率11.44。
在所属电子出版概念2021年第四季度营业总收入同比增长中,中文传媒、长江传媒、新华传媒、皖新传媒等11家均不足10%。
所有资讯内容不构成投资建议,股市有风险,投资需谨慎。
鬓发染霜的宁 4月26日易方达新益混合I基金怎么样?2022年第一季度基金持仓了哪些股票?以下是为您整理的4月26日易方达新益混合I基金持仓详情,供大家参考。
基金市场表现
截至4月26日,易方达新益混合I市场表现:累计净值2.1600,最新单位净值2.0740,净值增长率跌0.29%,最新估值2.08。
自基金成立以来收益115.62%,今年以来下降7.9%,近一年下降1.37%,近三年收益42.04%。
基金持仓详情
截至2022年第一季度,易方达新益混合I(001314)持有股票基金:海康威视、星宇股份、奥特维等,持仓比分别1.18%、1.05%、1.05%等,持股数分别为28.55万、8.03万、4.61万,持仓市值1170.55万、1043.5万、1037.99万等。
数据由提供,仅供参考,不构成投资建议,据此操作,风险自担。
鬓发染霜的宁 中信保诚稳达债券A基金2021年第三季度表现如何?该基金赚钱吗?以下是为您整理的4月25日中信保诚稳达债券A基金市场表现详情,供大家参考。
基金市场表现方面
截至4月25日,中信保诚稳达债券A最新市场表现:单位净值1.0162,累计净值1.1628,最新估值1.0156,净值增长率涨0.06%。
基金盈利方面
截至2021年第二季度,该基金期末单位基金资产净值1.01元。
2021年第三季度表现
截至2021年第三季度,中信保诚稳达债券A(基金代码:006177)涨1.18%,同类平均涨1.71%,排1090名,整体来说表现良好。
本文相关数据仅供参考,力求但不保证数据的完全准确,净值估算数据按照基金历史披露持仓和指数走势估算,不构成投资建议,仅供参考,实际以基金公司披露净值为准。
鬓发染霜的宁 4月26日晚间复盘消息,电工合金最新报价8.4元,跌1.98%,3日内股价下跌17.02%;今年来涨幅下跌-52.5%,市盈率为26.25。

从盘面上看,所属的铜合金板块晚间复盘报跌,楚江新材(6.670,-0.320,-4.578%)领跌,海亮股份(8.33,-2.69%)、电工合金(8.4,-1.98%)、金田铜业(6.74,-1.75%)等跟跌。
从资金流向方面来看,所属的铜合金概念晚间复盘跌,主力资金净流入1067.75万元。具体到个股来看:博威合金净流入932.47万元,海亮股份、鑫科材料、金田铜业等获净流入额度居前。
从营收入来看:2022年第一季度显示,电工合金公司实现营收约4.7亿元,同比增长6.8%; 净利润约3453.6万元,同比增长-15.94%;基本每股收益0.11元。
本文相关数据仅供参考,不构成投资建议,据此操作,风险自担。股市有风险,投资需谨慎。
鬓发染霜的宁 4月25日华夏沪港通恒生ETF联接C最新净值是多少?近两年来表现不佳,以下是为您整理的4月25日华夏沪港通恒生ETF联接C基金市场表现详情,供大家参考。
基金市场表现方面
基金截至4月25日,最新市场表现:单位净值0.9478,累计净值0.9478,最新估值0.9784,净值增长率跌3.13%。
基金近一周来表现
华夏沪港通恒生ETF联接(QDII)C(基金代码:005734)近2年来下降17.1%,阶段平均收益8.94%,表现不佳,同类基金排985名,相对下降5名。
基金持有人结构
截至2021年第二季度,华夏沪港通恒生ETF联接(QDII)C持有详情,总份额2270万份,其中机构投资者持有1010万份额,机构投资者持有占44.69%,个人投资者持有1250万份额,个人投资者持有占55.31%。
本文相关数据仅供参考, 不对您构成任何投资建议。用户应基于自己的独立判断,并承担相应风险。基金有风险,投资需谨慎。
鬓发染霜的宁 4月22日中金鑫福87个月债券最新净值是多少?基金前端申购费是多少?以下是为您整理的4月22日中金鑫福87个月债券基金市场表现详情,供大家参考。
基金市场表现方面
截至4月22日,中金鑫福87个月债券(008102)市场表现:累计净值1.0651,最新单位净值1.0066,净值增长率涨0.09%,最新估值1.0057。
基金盈利方面
基金前端申购费
该基金前端申购税率费为500元。
所有资讯内容不构成投资建议,基金有风险,投资需谨慎。
鬓发染霜的宁 2022年第一季度华安稳定收益债券A基金行业怎么配置?它的基金公司怎么样?以下是为您整理的华安稳定收益债券A基金资产配置详情,供大家参考。
2022年第一季度基金行业配置
截至2022年第一季度,华安稳定收益债券A基金行业配置前三行业详情如下:电力、热力、燃气及水生产和供应业(4.79%)、制造业(0.51%)、建筑业(0.12%),同类平均分别为0.76%、8.05%、0.75%,比同类配置分别为多4.03%、少7.54%、少0.63%。
基金公司情况
该基金属于华安基金管理有限公司,公司成立于1998年6月4日,公司所有基金管理规模5642.73亿元,拥有基金318只,由51名基金经理管理。
截至2020年,华安基金管理有限公司拥有多种类型基金:股票型基金规模460.53亿元,混合型基金规模1307.76亿元,债券型基金规模616.5亿元,指数型基金规模587.82亿元,QDII基金规模53.87亿元,货币型基金规模1939.21亿元,基金总规模合计4377.87亿元。
数据仅供参考,不构成投资建议,据此操作,风险自担,基金有风险,投资需谨慎。
鬓发染霜的宁 4月25日平安季开鑫定开债C最新净值是多少?以下是为您整理的4月25日平安季开鑫定开债C基金市场表现详情,供大家参考。
基金市场表现方面
平安季开鑫定开债C基金截至4月25日,最新市场表现:公布单位净值1.1338,累计净值1.1338,最新估值1.1341,净值跌0.03%。
基金盈利方面
截至2020年第四季度,该基金利润盈利0.69元,基金本期净收益盈利1.95元,期末单位基金资产净值1.04元。
基金详情介绍
平安季开鑫定开债C基金成立于2019年8月14日,基金份额日期2021年6月30日,基金类型属于债券型,运作方式为开放式,判断为稳健债券型,基金由平安银行股份有限公司托管,交由平安基金管理有限公司管理,基金经理是张文平。
本文相关数据仅供参考, 不对您构成任何投资建议。用户应基于自己的独立判断,并承担相应风险。基金有风险,投资需谨慎。
鬓发染霜的宁 金鹰民安回报定开混合C基金怎么样?基金持仓了哪些股票和债券?为您整理的金鹰民安回报定开混合C基金持股和债券持仓详情,供大家参考。
基金市场表现
截至4月25日,金鹰民安回报定开混合C(007735)最新市场表现:公布单位净值0.9779,累计净值1.3394,最新估值1.0045,净值增长率跌2.65%。
金鹰民安回报定开混合C成立以来收益31.81%,近一月下降8.29%,近一年下降2%。
基金持股详情
截至2022年第一季度,金鹰民安回报定开混合C(007735)持有股票基金:天齐锂业、融捷股份、天赐材料等,持仓比分别1.30%、1.27%、1.13%等,持股数分别为49.1万、34.1万、37万,持仓市值3995.85万、3900.7万、3477.76万等。
基金持有债券详情
截至2022年第一季度,金鹰民安回报定开混合C(007735)持有债券:债券21兴业银行CD387(债券代码:112110387)、债券20农业银行永续债02(债券代码:2028032)、债券19中国银行永续债01(债券代码:1928001)等,持仓比分别6.44%、3.46%、3.36%等,持仓市值1.98亿、1.06亿、1.03亿等。
本文相关数据仅供参考,力求但不保证数据的完全准确,净值估算数据按照基金历史披露持仓和指数走势估算,不构成投资建议,仅供参考,实际以基金公司披露净值为准。
鬓发染霜的宁 中梁控股股票代码02772 中梁控股表现如何?下文就随小编来简单的了解一下吧。
市场表现对比:
香港恒生指数最近1个月累计涨1.31%,最近3个月累计跌12.73%,最近6个月累计跌12.3%,今年以来累计跌6.67%。中梁控股港股最近市场表现:最近1个月累计涨7.08%,最近3个月累计跌8.64%,最近6个月累计跌10.59%,今年以来累计跌11.11%。
市面上:
4月26日消息,中梁控股开盘报2.17港元,截至14:38:17,该股跌0.46%,报2.17港元。成交156万港元,成交量为347.92万股,52周最高价为5.035港元,52周最低价为2.02港元。
最近评级情况:
2021年8月27日机构Guotai Junan Securities (Hong Kong) Limited将中梁控股港股重申"Buy(买入)",目标价由7.2港元下降至6.7港元。
行业规模对比排名:
在所属的地产行业中,从行业平均规模来看,2021年第二季度,总市值为133亿元,流通市值为125亿元。其中,中梁控股港股规模来说,总市值为128亿元,流通市值为128亿元,营业收入为329亿元,净利润为13.8亿元,行业排名第60位。
行业估值对比排名:
在所属的地产行业中,从行业平均估值来看,2021年第二季度。其中,中梁控股港股估值来说,行业排名第33位。
行业成长性对比排名:
在所属的地产行业中,从中梁控股港股成长性来说,基本每股收益同比增长率为14.71%,营业利润同比增长率18.60%,总资产同比增长率14.03%,行业排名第88位。从行业平均成长性来看,2021年第二季度,基本每股收益同比增长率为0.62%,营业利润同比增长率0.46%,总资产同比增长率0.21%。
本文相关数据仅供参考,不构成投资建议,据此操作,风险自担。股市有风险,投资需谨慎。
鬓发染霜的宁 人工智能龙头股排名前十2022 人工智能龙头股票排行榜,人工智能龙头股是哪几家上市公司, 畅想君盘点了这些人工智能的龙头股,分享给大家。下文就随畅想君来简单的了解一下吧。
人工智能龙头股排名前十
1、长安汽车000625:人工智能龙头股。到2025年,车载功能实现100%语音控制。
2、华西股份000936:人工智能龙头股。
3、科大讯飞002230:人工智能龙头股。
4、高乐股份002348:人工智能龙头股。
5、中科创达300496:人工智能龙头股。公司在通信协议栈、操作系统优化、系统安全、图形图像处理、人工智能算法等领域均形成了自有IP和核心关键技术。
6、深大通000038:2017年6月,公司经营范围增加人工智能的技术研发。
7、中兴通讯000063:在人工智能领域,中兴通讯已与全球数十家领先运营商及合作伙伴开展深度合作,并积极参与AI技术与产业融合的开源平台Acumos项目,与合作伙伴共同探索AI能力开放,促进AI应用的共享和普及。
8、中国长城000066:2018年3月18日下午消息,中国长城、百度宣布联手构建自主可控人工智能平台,建设人工智能全球创新网络。
9、厦门信达(000701):“阿里云Link城市物联网平台认证合作伙伴”,与阿里巴巴团队共同开发全球首家人工智能服饰数字化概念店项目,深度参与智能硬件设备及后仓智能拣货方案的设计研发,公司也是小米科技的NFC标签产品供应商之一;
10、创维数字(000810):继创维集团与百度在AI领域等达成深度战略合作之际,2018年4月16日,致力于打造“智慧家庭”生态链的创维数字,携手百度,推出首款围绕电视大屏生态的人工智能交互产品——创维小派电视智能音响。
以上就是畅想君带来的相关介绍了,希望本文对你能有所帮助。
鬓发染霜的宁 4月26日盘中消息,截至发稿时,城镇化概念报涨,常山药业(7.02%)领涨, 金地集团(4.5%)、莱美药业(2.81%)、建设机械(2.26%)等个股纷纷跟涨。相关城镇化概念股有:
常山药业:公司位于石家庄市正定新区,毗邻石家庄机场及高铁站,交通位置优越。
金地集团:长远来看,随着城镇化进程的演进以及国内人均收入水平的进一步上升,国内房地产行业仍有较大的发展空间。
莱美药业:医药行业是国内国民经济的重要组成部分,在保障人民群众身体健康和生命安全方面发挥重要作用。
所有资讯内容不构成投资建议,股市有风险,投资需谨慎。据此操作,风险自担。
鬓发染霜的宁 4月26日午后数据分析,汽车结构件概念报跌,保隆科技(28.78,-1.73,-5.67%)领跌,科达利(103.5,-3.01,-2.83%)、凌云股份(7.4,-0.2,-2.63%)、银宝山新(5.17,-0.05,-0.96%)等跟跌。
小南整理出相关汽车结构件概念股有:
(1)保隆科技:4月26日,保隆科技(603197)5日内股价下跌22.25%,今年来涨幅下跌-83.55%,跌5.7%,最新报28.77元/股。
保隆科技2021年第三季度,公司实现总营收9.39亿, 毛利率34.58%,每股收益0.51元。
公司主营汽车传感器、轮胎气压监测系统、轮胎气门嘴、平衡块、排气系统管件、汽车结构件,是全球领先的胎压监测系统、气门嘴和排气系统管件供应商之一。
(2)科达利:4月26日盘中消息,科达利最新报价103.44元,跌2.88%,3日内股价下跌9.71%;今年来涨幅下跌-43.84%,市盈率为44.64。
科达利公司 2021年第四季度实现总营收14.8亿, 毛利率21.67%,每股收益0.72元。
锂电池精密结构件和汽车结构件制造商,拥有76项专利,客户包括比亚迪、三星、LG等2017年锂电池结构件业务收入11.34亿元,占比78.13%。
(3)凌云股份:4月26日盘中消息,凌云股份截至13时23分,该股报7.4元,跌2.63%,7日内股价下跌8.73%,总市值为68.04亿元。
2021年第三季度,凌云股份公司实现总营收36.06亿, 毛利率17.14%,每股收益0.08元。
完成收购凌云吉恩斯49.90%的股权,凌云吉恩斯主要生产热成型汽车结构件,主要应用于燃油或新能源汽车,顺应汽车行业轻量化发展趋势。此次收购完成后,凌云吉恩斯成为公司的全资子公司。
数据仅供参考,不构成投资建议,据此操作,风险自担,股市有风险,投资需谨慎。
鬓发染霜的宁 公司基本信息:
中航光电股票,公司全称是中航光电科技股份有限公司,位于河南,成立于2002年第四季度,从事电子元件,于2007年11月1日上市,证券类别是深交所主板A股,上市股票代码为sz002179。
网上发行日期是2007年10月18日,发行每股面值1.00元,每股发行价16.19元,总共发行3000万股,发行市值达总市值4.86亿元,发行市盈率达29.98倍,募集到资金净额为4.62亿元。2007年11月1日正式上市,首日开盘价为52.00元,收盘报52.00元,最高可达53.00元,换手率为52.00%。
公司经营范围:公司是专业从事中高端光、电、流体连接器及相关设备的研发、生产、销售与服务,并提供系统的互连技术解决方案的高科技企业。产品广泛应用于航空、航天与防务领域,以及通讯与数据传输、新能源汽车、轨道交通、消费类电子、工业、能源、医疗、智能装备与机器人等民用高端制造领域。产品出口至欧洲、美国、以色列、澳大利亚、韩国、印度等30多个国家和地区。
本文相关数据仅供参考,不构成投资建议,据此操作,风险自担。股市有风险,投资需谨慎。
鬓发染霜的宁 长城久惠混合基金最新净值跌幅达4%,以下是为您整理的4月25日长城久惠混合基金市场表现详情,供大家参考。
基金市场表现方面
长城久惠混合(001363)市场表现:截至4月25日,累计净值1.4214,最新单位净值1.4214,净值增长率跌4%,最新估值1.4806。
截至2021年第二季度,该基金利润盈利271.93万元,基金本期净收益盈利79.89万元,加权平均基金份额本期利润盈利0.08元,期末基金资产净值5283.86万元,期末单位基金资产净值1.65元。
基金详细介绍
该基金全名是长城久惠灵活配置混合型证券投资基金,以下简称长城久惠混合,该基金成立于2015年7月27日,基金类型属于混合型,运作方式为开放式,判断为稳健混合型,基金由中国建设银行股份有限公司托管,交由长城基金管理有限公司管理,基金经理是程书峰。
发布此信息的目的在于传播更多信息,与本站立场无关。不保证该信息(包括但不限于文字、视频、音频、数据及图表)全部或者部分内容的准确性、真实性、完整性、有效性、及时性、原创性等。相关信息并未经过本网站证实,不对您构成任何投资建议,据此操作,风险自担。
鬓发染霜的宁 华邦科技(新)股票代码03638 华邦科技(新)表现如何?下文就随小编来简单的了解一下吧。
行业估值对比排名:
在所属的资讯科技器材行业中,从行业平均估值来看,2020年第四季度,市净率LYR为2.27。其中,华邦科技港股估值来说,行业排名第53位。
市面上:
截至发稿,报0.33港元,52周最高价为2.35港元,52周最低价为0.23港元。
统计显示,芯片概念股,平均上涨1.98%,股价上涨的有5只,涨幅居前的有芯智控股、华虹半导体、上海复旦(一千)、中电华大科技、科通芯城等。股价下跌的有1只,其中跌停的有瑞斯康集团。
市场表现对比:
香港恒生指数最近1个月累计涨1.31%,最近3个月累计跌12.73%,最近6个月累计跌12.3%,今年以来累计跌6.67%。华邦科技港股最近市场表现:最近1个月累计涨12.84%,最近3个月累计跌30.9%,最近6个月累计跌43.58%,今年以来累计跌37.25%。
行业规模对比排名:
在所属的资讯科技器材行业中,从行业平均规模来看,2020年第四季度,总市值为142亿元,流通市值为108亿元。其中,华邦科技港股规模来说,总市值为4.49亿元,流通市值为4.49亿元,营业收入为17.1亿元,净利润为-7869万元,行业排名第33位。
行业成长性对比排名:
在所属的资讯科技器材行业中,从行业平均成长性来看,2020年第四季度,营业收入同比增长率0.17%,营业利润同比增长率0.74%。其中,华邦科技港股成长性来说,营业收入同比增长率100.50%,营业利润同比增长率-408.54%,行业排名第57位。
数据由提供,仅供参考,不构成投资建议,股市有风险,投资需谨慎,据此操作,风险自担。
鬓发染霜的宁 嘉实研究精选混合A买的人多吗?2021年第二季度基金主要卖出哪些股票?以下是为您整理的4月25日嘉实研究精选混合A基金持有人结构详情,供大家参考。
基金持有人结构方面
截至2021年第二季度,嘉实研究精选混合A持有详情,机构投资者持有占1.37%,个人投资者持有占98.63%,机构投资者持有110万份额,个人投资者持有7800万份额,总份额7900万份。
2021年第二季度主要卖出入详情
截至2021年第二季度,嘉实研究精选混合A基金发生重大卖出变动,卖出变动股票有:中信证券(600030)本期累计卖出金额为8910.7万元,占期初基金资产净值比例为3.78%;万科A(000002)本期累计卖出金额为4163.82万元,占期初基金资产净值比例为1.77%;法拉电子(600563)本期累计卖出金额为4129.09万元,占期初基金资产净值比例为1.75%等。
基金详情介绍
基金简称嘉实研究精选混合A,该基金成立于2008年5月27日,基金规模为1.99亿元,基金份额日期2021年6月30日,基金总份额达7904万份,基金类型属于混合型,运作方式为开放式,判断为激进混合型,基金由中国银行股份有限公司托管,交由嘉实基金管理有限公司管理,基金经理是肖觅等。
本文相关数据仅供参考,力求但不保证数据的完全准确,净值估算数据按照基金历史披露持仓和指数走势估算,不构成投资建议,仅供参考,实际以基金公司披露净值为准。
鬓发染霜的宁 2022年4月26日年圆信永丰致优混合A持股人结构一览,基金2021年第三季度表现如何?
基金详情介绍
该基金全名是圆信永丰致优混合型证券投资基金,以下简称圆信永丰致优混合A,该基金成立于2019年12月25日,基金规模为4770万元,基金份额日期2021年6月30日,基金总份额达2296万份,基金类型属于混合型,运作方式为开放式,判断为稳健混合型,基金由中国建设银行股份有限公司托管,交由圆信永丰基金管理有限公司管理,基金经理是范妍。
基金持股人结构一览
截至2021年第二季度,圆信永丰致优混合A持有详情,机构投资者持有1040万份额,个人投资者持有1260万份额,机构投资者持有占45.10%,个人投资者持有占54.90%,总份额2300万份。
2021年第三季度表现
圆信永丰致优混合A基金(基金代码:008245)最近三次季度涨跌详情如下:涨4.52%(2021年第三季度)、涨6.26%(2021年第二季度)、涨1.39%(2021年第一季度),同类平均分别为跌1.2%、涨9.3%、跌2.02%,排名分别为372名、1281名、230名,整体表现分别为优秀、一般、优秀。
本文相关数据仅供参考,不构成投资建议,据此操作,风险自担。基金有风险,投资需谨慎。
鬓发染霜的宁 骏溢环球金融股票代码08350 骏溢环球金融表现如何?下文就随小编来简单的了解一下吧。
行业估值对比排名:
在所属的其他金融行业中,2021年第二季度,骏溢环球金融港股估值来说,基市盈率TTM为-7.10,市盈率LYR为-8.28,市销率TTM为21.14,市销率TTM为21.14,市销率LYR为21.14,行业排名第134位。在所属的其他金融行业中,从行业平均估值来看,2021年第二季度,市盈率TTM为10.59,市盈率LYR为33.42,市净率MRQ为1.89,市净率LYR为1.89,市净率LYR为1.89,市销率TTM为2.08,市销率TTM为2.08,市销率LYR为2.08,市现率LYR为39.71。
市面上:
4月26日开盘消息,最新报0.175港元,52周最高价为0.48港元,52周最低价为0.114港元。
期权经纪概念共有8支个股,上涨1.24%,涨幅较大的个股是智富资源投资(涨幅9.52%)、华泰证券(涨幅0.38%)。
市场表现对比:
香港恒生指数最近1个月累计涨1.31%,最近3个月累计跌12.73%,最近6个月累计跌12.3%,今年以来累计跌6.67%。骏溢环球金融港股最近市场表现:最近1个月累计涨2.27%,最近3个月累计跌3.85%,最近6个月累计涨4.65%,今年以来累计涨40.63%。
行业规模对比排名:
在所属的其他金融行业中,从行业平均规模来看,2021年第二季度,总市值为107亿元,流通市值为61.0亿元。其中,骏溢环球金融港股规模来说,总市值为1.50亿元,流通市值为1.50亿元,营业收入为334万元,净利润为-886万元,行业排名第125位。
行业成长性对比排名:
在所属的其他金融行业中,从骏溢环球金融港股成长性来说,基本每股收益同比增长率为-37.67%,营业收入同比增长率-40.28%,行业排名第67位。从行业平均成长性来看,2021年第二季度,基本每股收益同比增长率为0.22%,营业收入同比增长率0.12%。
本文选取数据仅作为参考,并不能全面、准确地反映任何一家企业的未来,并不构成投资建议,据此操作,风险自担。
鬓发染霜的宁 4月25日大成竞争优势混合最新单位净值为1.3981元,该基金2021年第二季度利润如何?以下是为您整理的4月25日大成竞争优势混合基金市场表现详情,供大家参考。
基金市场表现方面
截至4月25日,大成竞争优势混合(090013)最新单位净值1.3981,累计净值2.4081,最新估值1.4483,净值增长率跌3.47%。
基金盈利方面
截至2021年第二季度,该基金利润盈利1088.54万元,基金本期净收益盈利788.27万元,期末基金资产净值2.24亿元,期末单位基金资产净值1.43元。
基金2021年第二季度利润
截至2021年第二季度,大成竞争优势混合收入合计2469.23万元:利息收入15.33万元,其中利息收入方面,存款利息收入10.83万元。投资收益2249.9万元,其中投资收益方面,股票投资收益2013.34万元,股利收益236.55万元。公允价值变动收益188.39万元,其他收入15.6万元。
本文选取数据仅作为参考,并不能全面、准确地反映任何一家企业的未来,并不构成投资建议,据此操作,风险自担。